红星美凯龙6日派发8.98亿元现金红利,主要流向哪里?
7月6日,是上市公司红星美凯龙向A股股东派发现金红利的日子。
当日,红星美凯龙共派发8.9815亿元现金红利。
这笔现金占2019年度该公司实现的可分配利润的 20.05%。2019年,红星美凯龙扣除非经常性损益后归属于上市公司股东的净利润为人民币约26亿元。派发的现金股利占 2019 年合并报表归属于上市公司股东扣除非经常性损益净利润的 34.36%。
外界注意到,红星美凯龙一面向股东派发现金红利,一面向市场增股融资。
6月3日,红星美凯龙董事会临时会议决定,向资本市场非公开募资不超过40亿元。
募资通过向不超过35名投资人或投资机构非公开发行股票的方式完成。股票发行对象为具备认购条件的证券投资基金管理公司、证券公司、信托投资公司、财务公司、保险机构投资者、合格境外机构投资者、其他境内外机构投资者和自然人等。
40亿元的资金主要用于三方面:
一是新商场的建设。资金用量达19.6亿元,约占一半。
二是线上销售系统、云设计等方面的建设。资金用量达8.7亿元。
三是偿还公司债务。需11.7亿元。
派发现金红利,是让投资人有看到见的收益。而非公开发行股票,是让新投资人看到投资收益的现实榜样。
所以一边发红利,一边募集新资金,看似矛盾,实际上有着合理的资本逻辑存在。
如果上市公司一直能保持赢利,对于投资人,对于公司本身,就是共赢。
检视2019年美凯龙的年报,在赢利数字之外,有些信息或许更令人关注,那就是股东的构成与高管的薪酬。
红星美凯龙控股集团有限公司是上市公司红星美凯龙家居集团股份有限公司的最大股东,2019年年底持股数占总股数的55.7%。其次为香港中央结算(代理人)有限公司,占股18.98%。
第三大股东是红星美凯龙控股集团有限公司2019年非公开发行可交换公司债券(第一期)质押专户,占股12.86%。
由此可见,现金红利的主要流入方向还是大股东。
公司与大股东收获颇丰,作为公司高管年薪几何?
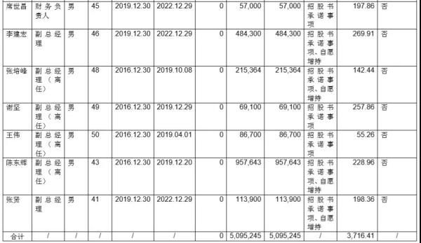
从下表可知:

表格显示,年薪最高的董事副总经理蒋小忠获得459.9万元薪酬,高管总薪酬达三千七百一十六点四一万元。
年报还显示,作为上市公司的红星美凯龙,现有员工27113名,其中母公司员工3837人。(来源:第一家具网)
网址:红星美凯龙6日派发8.98亿元现金红利,主要流向哪里? https://c.jiaju82.com/news-view-id-710640.html

